Ejercicio 1: Cálculo de armónicos
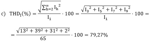
En el punto de entrega de una instalación monofásica (230 V, 50 Hz), se realizó un análisis de la forma de onda de tensión mediante osciloscopio, detectándose una señal claramente distorsionada. Paralelamente, un análisis espectral de la corriente reveló su composición armónica, cuantificándose los siguientes valores eficaces para cada componente frecuencial: I1 = 65 A; I3 = 13 A; I5 = 39 A; I7 = 31 A; I9 = 2 A. Calcular:
a) Valor eficaz total de la corriente (incluyendo todas las componentes armónicas)
b) Porcentaje de distorsión aportado por cada armónico individual (IHD)
c) Tasa de distorsión armónica total para corriente, expresada en porcentaje THDI (%).





