Ejercicio 2: Cálculo de armónicos
Una instalación eléctrica presenta una potencia activa de 400 kW y una potencia reactiva de 193 kVAR. Considerando que mediante un analizador de redes se ha obtenido una THDI del 48%, determinar:
a) El FP sin distorsión (cos φ)
b) El FP con distorsión (FPD)
a) La fórmula del factor de potencia sin distorsión, relaciona la potencia activa y la potencia aparente:

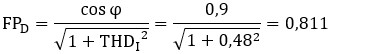
b) La fórmula del factor de potencia con distorsión en función de la tasa de distorsión armónica de corriente THDI es:

Se observa que en presencia de armónicos el factor de potencia FPD es menor que el cos φ a causa de la distorsión.
