Ejercicio 3: Cálculo de armónicos
Una instalación presenta un factor de potencia sin armónicos (cos φ) de valor 1. Considerando la distorsión armónica, determinar el factor de potencia real para:
a) Un nivel de THDI del 50%
b) Un nivel de THDI del 100%
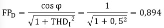
a) Para un nivel de distorsión armónica total de corriente THDI del 50%, el factor de potencia con distorsión es de:

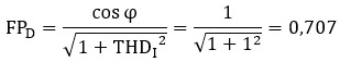
b) Para un nivel de distorsión armónica total de corriente THDI del 100%, el factor de potencia con distorsión es de:

Se observa que cuantos más armónicos tiene la señal más baja el factor de potencia.
