Ejercicio 4: Cálculo de armónicos
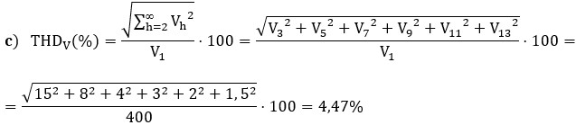
Una empresa distribuidora de energía necesita evaluar la calidad del voltaje suministrado en la acometida de un usuario. Tras realizar un análisis espectral de la tensión hasta el armónico de orden 13, se obtienen los siguientes valores eficaces por componente: fundamental de 400 V, y armónicos de 15 V, 8 V, 4 V, 3 V, 2 V y 1,5 V. Determinar:
a) Tensión eficaz total
b) Distorsión individual de cada armónico
c) Si la señal cumple con el límite reglamentario de THDv(%) máximo del 5%





Sí, la señal cumple con el límite reglamentario de THDv(%) porque no supera el 5% que establecen las normas.
Al contrastar ambas formas de onda en la visualización del osciloscopio, se constata que la señal distorsionada y la sinusoidal ideal presentan una similitud considerable en el dominio temporal. Esta semejanza superficial resalta la importancia de complementar la inspección visual con mediciones cuantitativas, ya que el ojo humano puede no percibir diferencias significativas a simple vista.

