Ejercicio 5: Cálculo de armónicos
Una instalación eléctrica presenta una potencia activa de 300 kW y una potencia reactiva de 250 kVAR. Considerando que mediante un analizador de redes se ha obtenido un factor de potencia distorsionado de 0,65, determinar:
a) La potencia aparente fundamental (S1) y el factor de potencia sin distorsión (cos φ)
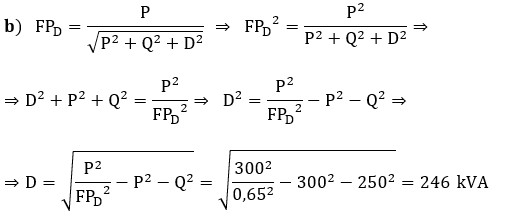
b) La componente de distorsión de potencia (D)
c) La potencia aparente total (ST) que incluye los efectos de la distorsión armónica



A continuación, se muestra un resumen de todas las potencias:
● P = 300 kW
● Q = 250 kVAR
● S1 = 390,51 kVA
● D = 246 kVA
● ST = 461,54 kVA
El siguiente gráfico describe el diagrama vectorial del triángulo de potencias. Nótese que las magnitudes de los vectores se corresponden con sus valores reales:

