Ejercicio 6: Cálculo de armónicos
Una instalación eléctrica consume una potencia activa de 200 kW con un factor de potencia sin distorsión de 0,8. Considerando que la potencia aparente total medida, que incluye los efectos de la distorsión armónica, es de 300 kVA, se solicita calcular:
a) La potencia aparente fundamental (S1)
b) La componente de distorsión de potencia (D)
c) El factor de potencia real que considera la distorsión armónica (FPD)



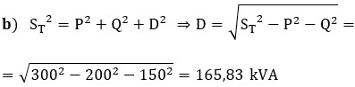
A continuación, se muestra un resumen de todas las potencias:
● P = 200 kW
● Q = 150 kVAR
● S1 = 250 kVA
● D = 165,83 kVA
● ST = 300 kVA
En la siguiente figura se muestra la configuración del triángulo de potencias. Los vectores se representan guardando la proporción real:

