Ejercicio 8: Cálculo de armónicos
Un análisis de calidad de energía en una instalación con cargas no lineales mediante un analizador de redes ha proporcionado los siguientes valores: Tensión V = 224 V, Potencia reactiva Q = 62,2 kVAR, Tasa de distorsión armónica de corriente THDI = 72,4% y Potencia aparente fundamental S1 = 168 kVA. A partir de estos datos, se requiere determinar:
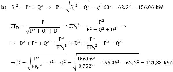
a) El factor de potencia considerando la distorsión armónica (FPD)
b) La magnitud de la potencia de distorsión (D)
c) El valor de la potencia aparente total que incluye los efectos de la distorsión (ST)



A continuación, se muestra un resumen de todas las potencias:
● P = 156,06 kW
● Q = 62,2 kVAR
● S1 = 168 kVA
● D = 121,83 kVA
● ST = 207,52 kVA
Y a continuación, se presenta el diagrama del triángulo de potencias. Cabe señalar que los vectores mostrados están representados a escala real:

